Authors: Shunyao Lu*, Zhengzhi Wang and Tao Chen
School of Energy and Power Engineering, Nanjing Institute of Technology, Nanjing 211167, China
*Author to whom correspondence should be addressed.
Source: Buildings 2024, 14(11), 3497; MDPI
DOI: https://doi.org/10.3390/buildings14113497
(This article belongs to the Section Building Energy, Physics, Environment, and Systems)
Abstract
More and more modern buildings are using glass curtain walls as their building envelope. The large area of window leads to a significant increase in solar heat gain, resulting in an increase in the cooling load and energy consumption of the building envelope. In the calculation of building cooling load, the thermal performance parameter of windows, the solar heat gain coefficient, is used to calculate the solar radiation heat gain of the windows. The window-to-wall ratio of buildings with glazing facades is large, and the phenomenon of escape of incident solar radiation cannot be ignored. In order to calculate the solar radiation escape rate, a dynamic model of solar radiation escape rate incorporating the solar path tracking model is developed in this research, which can achieve big data simulation analysis based on actual meteorological conditions.
The model is programmed and simulated using MATLAB R2024a software. Five representative cities from different climate regions in China are selected and the variation rule of solar radiation escape rate are analyzed on three different time scales: day, month, and year. The influence of building orientation was also calculated and analyzed. The numerical calculation results indicate that the escape solar radiation rate varies with the incident angle of solar radiation at different times. It was found that the smaller the solar azimuth angle and solar altitude angle, the smaller the escape rate of solar radiation. The latitude of a city has a significant impact on the solar radiation escape rate. The weighted average of the solar radiation escape rates for each city were calculated for both summer and winter. Regardless of the season, the city’s location, and the orientation of the room, the value of solar radiation escape rate varies from 8.64% to 10.33%, which indicates that the solar radiation escape phenomenon cannot be ignored in glass curtain wall buildings. The results can be used as a reference value of solar radiation escape rate for the correction of actual solar heat gain of buildings in different climate regions.
1. Introduction
The study of building energy performance has been an important issue in past decades. More and more modern buildings are using glass curtain walls as their building envelope. The large area of window leads to a significant increase in solar heat gain. The heat gain through the windows in summer accounts for more than 40% of the total heat gain of the building envelope [1]. If glass curtain walls are used on the exterior of the building, the energy consumption of the building will be much higher than that of conventional buildings. The solar heat gain through the window of the room consists of two parts: one part is the solar radiation that is transmitted into the room directly, and the other part is the convective heat transfer between the glass and the surrounding air after absorbing solar radiation and heating up [2]. In the calculation method of building cooling/heating load, the solar heat gain of the building is calculated through the solar heat gain coefficient (SHGC), which ranges from 0 to 1 depending on the thermal performance of the windows.
The research on SHGC is relatively mature and can be mainly divided into experimental research methods and numerical calculation methods. The relevant experimental research is conducted through the hot box method, and institutions or scholars in various countries have established laboratories for targeted research, such as the Canada National Solar Test Facility, Lawrence Berkeley National Laboratory in the United States, the National Fenestration Rating Council in the United States, the Fraunhofer Institute for Solar Energy Systems in Germany, etc. In 1989, the Canada National Solar Test Facility established an experimental testing device for detecting the thermal performance of doors and windows, which was improved in 1992. The device uses a single-source argon arc lamp to simulate solar radiation and can detect the solar radiation heat gain coefficient of doors and windows [3,4]; Klems [5] from Lawrence Berkeley National Laboratory in the United States developed the MoWiTT detection equipment and established the SHGC detection method under real environmental conditions.
The solar radiation heat gain coefficients of different types of internal and external shading facilities were derived through layered analysis and photothermal separation methods, and have been included and used in the ASHRAE Handbook to this day; the National Fenestration Rating Council in the United States has experimentally tested the thermal performance of doors and windows [6]; the Fraunhofer Institute for Solar Energy Systems in Germany has established a steady-state laboratory and conducted tests on the solar radiation heat gain coefficients of different transparent enclosure materials over a period of 25 years [7]; a team of scholars from Queen’s University, Toronto Metropolitan University, and the University of Waterloo in Canada studied the effects of different shading components on longwave radiation heat transfer and convective heat transfer during thermal processes [8,9]; Carlos [10] tested the thermal performance of double-layer ventilation windows. Due to the ventilation system between the glass, the glass absorbs solar radiation heat and is discharged outdoors through convective heat exchange, resulting in a decrease in SHGC.
SHGC can also be numerically calculated by establishing an energy balance model for the overall window shading system [11]. In the thermal balance model, the sunshade components are equivalently treated as a layer of components, which together with the transparent enclosure structure form an n-layer transparent transmission system model. The thermal balance equations of each layer of components and the surrounding environment are solved by combining them. This calculation method is used in simulation software such as EnergyPlus [12] and Window [13]. SHGC-specific calculation boundary conditions are also specified in the standards for windows both domestically and internationally.
The experimental research and theoretical calculation methods of SHGC are relatively complete, but the research focuses on the windows and related shading components themselves. SHGC, as a thermal performance parameter of transparent enclosure structures, has no correlation with actual buildings. In fact, as shown in Figure 1, the solar radiation transmitted into the indoor area may be reflected by the indoor walls and then escape through the windows again. In conventional buildings, due to the small openings of the building, it is considered that the amount of solar radiation escaping from this part can be ignored. But this assumption does not apply to buildings with glazing facades. In the harmonic method of load calculation, the standard building’s window-to-wall ratio is 0.29, and the ratio of window area to the remaining indoor wall area is 0.04. If this standard building is a building with full glazing facades, the window-to-wall ratio is close to 1, and the ratio of window area to the remaining indoor wall area increases to 0.154, so the phenomenon of solar radiation escape in glass curtain walls cannot be ignored.
The amount of solar radiation escape is closely related to the actual form of the building. Some scholars have studied the amount of solar radiation escaping from greenhouses or additional sunrooms [14,15,16,17]. Due to the linearity of direct solar radiation, it enters the room through glass and then passes through adjacent transparent enclosures to the outside. However, the calculation models of these studies do not include the amount of solar radiation escaping after being reflected by the indoor walls. Some scholars have also noticed the phenomenon of solar radiation escape. Athienitis [18] summarized the influencing parameters by studying latitude, time, building geometric dimensions, window-to-ground-area ratio, and surface absorption rate; Cucumo [19] calculated the effects of different room sizes on single- and double-layered glass; Wen [20] studied the effective solar radiation absorption rate of rooms with multiple openings on their walls.
The effective solar radiation absorption rate of a room is between the amount of solar radiation absorbed by indoor walls and the amount of solar radiation transmitted into the room through windows and does not include the part of glass that absorbs solar radiation and transfers it indoors. Therefore, the effective solar radiation absorption rate of a room cannot represent the amount of solar radiation heat received by a building. On the basis of the effective solar radiation absorption rate in the room, Oliveti [21] considered the part of the glass that absorbs solar radiation and transfers it indoors and proposed a more accurate calculation model for solar radiation heat gain. In this calculation, the heat transfer calculation of the glass indoors adopts the radiation convection comprehensive heat transfer coefficient on the outside of the room, rather than the radiation convection comprehensive heat transfer coefficient on the inside of the room. Due to the temperature difference between indoor and outdoor air, there is a significant difference between the indoor wall temperature and the surrounding wall temperature of the outdoor building.
Therefore, it is unreasonable to assume that the comprehensive heat transfer coefficient between the indoor and outdoor sides is the same, indicating that this calculation model is not accurate enough. In a previous study, the authors have developed a simple solar radiation escape model and investigated the effect of room dimensions and reflectance parameters of the interior walls on the escape rate [22]. However, the model established in the previous article is a steady-state model, which can only calculate the solar radiation escape rate of buildings in Shanghai under the given solar azimuth and altitude angle conditions. The previous study is a case study of several conditions and has strong limitations at the spatial and temporal levels. In summary, there are no models of solar radiation escape rates that are applicable to all geographic locations at all times, and there are no quantitative data for the calculation of escape rates.
Based on the above study, in this paper, the solar radiation heat transfer process throughout the year is analyzed, and a dynamic model of solar radiation escape rate incorporating the solar path tracking model is developed, which can achieve big data simulation analysis based on actual meteorological parameter conditions. Five representative cities in different climate regions in China are selected to analyze the variation in solar radiation escape rate from three different time scales: daily, monthly, and yearly, and the influence of building orientation is also calculated and analyzed. Actual meteorological parameters are also introduced to quantitatively calculate the solar radiation escape rate in buildings with different thermal zones and orientations. The research results provide an important reference for the calculation of solar radiation escape and solar radiation heat gain in buildings with glazing facades.
2. Model for Escape of Incident Solar Radiation
2.1. Model Assumptions
To accurately calculate the amount of escaped solar radiation, it is necessary to obtain the amount of solar radiation reflected by the indoor wall and reaching the inside of the window. We established a calculation model for uneven distribution of indoor solar radiation based on the radiation exposure method. We then discretized the indoor walls to form N micro surfaces.
The following assumptions were made in this computational model:
-
(1) In this calculation model, only solar radiation located in the short wavelength range of 0.3–3 μm is discussed, and indoor longwave radiation is not involved.
-
(2) Treating a discrete single surface as a whole, the solar radiation shining on it is uniformly absorbed and reflected by the entire surface.
-
(3) The direct radiation of the sun propagates in a straight line and maintains directionality after transmitting through the window. When it reaches the wall, it is reflected by the wall and becomes scattered reflection.
2.2. Indoor Solar Radiation Sources
The radiation source is solar radiation located in the mid- to short-wave range, and does not involve long-wave radiation. After transmitting through the window (the blue frame in Figure 2), the direct solar radiation forms an irradiation spot on the indoor walls (as shown in the gray area in Figure 2). Part of the direct radiation is absorbed by the walls, while the other part is reflected and becomes scattered radiation, which is repeatedly absorbed and reflected on various indoor walls. Therefore, the source of direct solar radiation comes from the walls within the range of the irradiation spot. Solar scattered radiation has isotropy and enters the indoor environment through the transmission system. Therefore, the source of solar scattered radiation comes from the inside of the transmission system, that is, the inner surface of the curtain wall.
2.2.1. Direct Radiation Source
The indoor direct solar radiation source is represented by 𝑅𝑑𝑖𝑟,𝑖 and is located within the direct beam spot on the wall. If the discrete micro surface 𝑖 is located on different walls, the direct radiation source 𝑅𝑑𝑖𝑟,𝑖 perpendicular to the micro surface is also different.
-
(1) If the discrete micro surface 𝑖 is located on the ground, the 𝑅𝑑𝑖𝑟,𝑖 is as follows:

-
(2) If the discrete micro surface 𝑖 is located on the back wall, the 𝑅𝑑𝑖𝑟,𝑖 is as follows:

-
(3) If the discrete micro surface 𝑖 is located on the left/right wall, the 𝑅𝑑𝑖𝑟,𝑖 is as follows:

-
where 𝜌𝑖 is the reflectivity of the discrete micro surface 𝑖, 𝜏 is the transmittance of the discrete micro surface 𝑖, 𝐼𝑑𝑖𝑟 is the outdoor direct solar radiation intensity, ℎ is the solar altitude angle, and 𝛾 is the solar azimuth angle.
2.2.2. Diffuse Radiation Source
The indoor diffuse solar radiation source is represented by 𝑅𝑑𝑖𝑓,𝑖, which is only taken on the micro surface of the curtain wall and is 0 on the other indoor wall surfaces. Due to the lack of directionality in diffuse radiation, assuming it is isotropy, the formula for calculating 𝑅𝑑𝑖𝑓,𝑖 is as follows:
where 𝐼𝑑𝑖𝑓 is the outdoor diffuse solar radiation intensity.
2.3. Escape Model of Incident Solar Radiation
The escape model of incident solar radiation is analyzed using the net radiation method for indoor discrete micro surfaces. Figure 3 shows the radiosity diagrams of indoor walls and glass curtain walls.
For a single micro surface 𝑖, it emits radiosity 𝐽𝑖 outward while receiving irradiation 𝐺𝑖 from other micro surfaces towards micro surface 𝑖. For indoor non-transparent micro surfaces, there are absorption and reflection phenomena, while for the incident radiation of curtain wall micro surfaces, there are transmission, absorption, and reflection phenomena simultaneously. In Figure 4, 𝛼𝑖𝐺𝑖, 𝛼𝑗𝐺𝑗, and 𝛼𝑘𝐺𝑘 represent the solar radiation absorbed by the discrete element surfaces 𝑖, 𝑗, and 𝑘, i.e., the solar radiation ultimately obtained by the micro surfaces. The solar radiation 𝜏𝑘𝐺𝑘 that is transmitted again to the outside through the micro surface k of the curtain wall is the solar radiation that escapes through the micro surface 𝑘.
The irradiation 𝐺𝑖 of micro surface 𝑖 is as follows:
-
where 𝑖 is the number of discrete micro surfaces on indoor surfaces, 𝐹𝑖−𝑗 is the view factor between surface 𝑖 and surface 𝑗, 𝐽𝑗 is the radiosity for surface 𝑗 and is as follows:
where 𝑅𝑑𝑖𝑟,𝑖 and 𝑅𝑑𝑖𝑓,𝑖 are the direct and diffuse solar radiation sources of the indoor discrete micro surface 𝑖, their specific values are shown in Equations (1)–(4)
The final absorbed solar flux for surface 𝑖 is as follows:
By using Equation (6) to establish an N G N equation system, the radiosity 𝐽𝑗 of each micro surface can be calculated, and then the values of 𝐺𝑖 and 𝑞𝑖 can be calculated based on Equations (5) and (7).
The amount of escape solar radiation 𝑄𝑒𝑠𝑐 is as follows:
where 𝑛 is the starting number of the discrete micro surface of the glass curtain wall, 𝑚 is the final number of the discrete micro surface of the glass curtain wall, and 𝐴𝑖 is the area of the micro surface 𝑖.
The solar radiation escape rate 𝑌 in buildings with glazing facades is the percentage of solar radiation escape to solar radiation incidence, expressed as follows:
where 𝐴𝑔 is the area of the curtain wall and 𝐼𝑖𝑛 is the intensity of solar radiation entering the room through the window.
3. Results and Discussions
Based on the solar radiation escape rate calculation model established in the second part, the variation patterns of solar radiation escape rate are analyzed along three different time scales: day, month, and year.
The size of the simulated room is L = 3 m, W = 4.5 m, H = 3 m. For a south-facing room located in different climate regions, the glazing is double-glass pane windows with low-E coating. According to the multi-layer transmission system model in ISO 15099 standard [15], the overall performance parameters of the double-layer insulated glass are calculated. The total transmittance of the glass curtain wall is 0.597, the absorption rate is 0.291, and the reflectivity is 0.112. The indoor walls are all diffuse and gray surfaces. Due to the fact that the colors of the floor, walls, and ceilings are usually not consistent, the floor color is darker. Therefore, the floor absorption rate is set to 0.8, and the absorption rate of the other indoor walls is set to 0.4. Five representative cities from different climate regions in China are selected and their specific information is shown in Table 1.
Table 1. The specific information of representative cities from different regions in China.

3.1. Daily Variation Analysis
Due to the rotation of the Earth, the solar altitude and azimuth are constantly changing, and the solar radiation escape rate also changes accordingly. The use of air conditioning in summer results in high building energy consumption. The typical day for building load calculation in summer is in July, so 15 July was selected to calculate the solar radiation escape rate at all times of the day, with the room facing south.
In the analysis of daily and monthly changes, in order to explore the influence brought by geographic location, the solar radiation model adopts the theoretical model. Calculating the thickness and attenuation of solar radiation through the atmosphere based on the solar altitude angle and the atmospheric transparency, i.e., the clear sky index, is selected as 0.7, so the intensity of direct and diffuse solar radiation in each city is only related to latitude.
The incident amount of solar radiation refers to the amount of solar radiation that enters the room through the windows. The calculation results of the incident and escape amounts of solar radiation at each time in different cities are shown in Figure 4. 𝑄𝑎𝑏𝑠 in Figure 4 is the amount of solar radiation that is absorbed by the room, and the sum of it and the escape solar radiation 𝑄𝑒𝑠𝑐 equals the amount of incident solar radiation 𝑄𝑖𝑛.
The trend of incident solar radiation over time is the same for all cities, with a gradual increase in the morning and a gradual decrease in the afternoon. As shown in Figure 4, the incident solar radiation increases with latitude, and the solar radiation at 12 o’clock in Harbin is 3150 W (under the condition that the window area is 9 m2). At the same moment, the incident solar radiation in Guangzhou, the lowest latitude, is 1419 W.
Incident solar radiation in Guangzhou and Kunming is very close before 10:00 and after 14:00, with a difference of only 2.4 W. This is due to the proximity of the latitudes of Guangzhou and Kunming, which are located at 23°17′ and 25°02′, respectively (Table 1). The lower latitude causes the south-facing rooms to receive direct solar radiation only from 10:00 to 14:00 on 15 July, and only diffuse solar radiation for the rest of the day, so the calculation results for the two cities are close.
The solar radiation escape rate is calculated according to Equation (8), and the results of different cities are shown in Figure 5.
Figure 5. Solar radiation escape rate Y at various times on the summer solstice. As shown in Figure 5, the pattern of change in the escape rate of solar radiation with time is consistent in different cities, all of which are gradually decreasing in the morning, gradually increasing in the afternoon, and the minimum value appears at 12:00. But the rates of change in the escape rate of each city are very different. The ordering of the rate of change is Harbin > Beijing > Shanghai > Kunming > Guangzhou, and this ordering is also consistent with the corresponding latitudinal ordering of the cities. The most drastic fluctuation is in the escape rate of Harbin, the value of which changes from 7.14% to 10.7%, with a whole-day fluctuation of 3.56%. The smallest change is in the escape rate of Guangzhou, 9.88–10.18%, with only 0.3% fluctuation throughout the day.
An interesting phenomenon is that Guangdong remains unchanged at 10.18% before 10:30 and after 13:30; similarly, Kunming remains unchanged at 10.18% before 10:00 and after 14:00. As mentioned earlier, this is due to the lower latitude of these two cities. In the absence of incident direct solar radiation, the indoor solar radiation source is diffuse solar radiation from the south-facing windows. Scattered radiation is isotropic, so with the same indoor wall parameters in the room, the solar radiation fugacity Y remains unchanged. The fugacity of scattered radiation is 10.18%, which does not change with time.
As shown in Figure 5, the solar radiation escape rate reaches its minimum near noon. This is because the solar incident angle in the south-facing room is the smallest near noon, and the beam solar radiation is concentrated on the ground, with the smallest proportion falling on the left or right wall. In the setting of thermal performance parameters for wall surfaces, the ground reflectivity is 0.2 and the other wall surfaces are 0.6. Therefore, the less direct radiation reflected by the wall surface at one time, the less solar radiation ultimately escapes. Therefore, the smaller the incident angle of solar radiation, the lower the escape rate of solar radiation.
3.2. Monthly Variation Analysis
Based on the analysis of daily variation, it can be seen that the solar radiation is at its highest at the moment of noon, and at the same time the solar radiation escape rate is the lowest. Therefore, the moment of 12:00 is selected to carry out the monthly variation analysis of the solar radiation escape rate. The outdoor solar radiation intensity of the five cities is shown in Table 2 (under the condition of 0.7 clear sky coefficient in the conventional solar model), and the results of the calculation of solar radiation incident and escape are shown in Figure 6.
Figure 6. The incident and escape amounts of solar radiation at 12:00 on the 15th of different months. Table 2. The solar radiation intensity at 12:00 on the 15th of each month in different cities W/m2.
According to Table 2, the outdoor solar radiation intensity is highest in summer and lowest in winter in all cities. This is because of the attenuation of solar radiation intensity in winter due to the small solar altitude angle and the increased thickness of the sun through the atmosphere. The city with the largest difference in solar radiation intensity between summer and winter is Harbin, the highest latitude, and the city with the smallest difference is Guangzhou.
Overall, the amount of incident solar radiation and the amount of escape solar radiation fluctuate greatly every month.
For incident solar radiation, the maxima in Harbin and Beijing occur in spring and fall, while the maxima in Shanghai, Guangdong, and Kunming occur in winter. However, the minimum values for all cities occur in June, contrary to Table 2, which shows that the maximum values of outdoor solar radiation intensity occur in summer. This is due to the fact that, in addition to the solar radiation intensity, the room’s solar radiation incidence is also affected by the solar altitude angle and solar azimuth angle. The sun’s azimuth is consistently in the south direction at noon every day of the year in all cities, while the sun’s altitude angle varies with time. On the summer solstice, the sun shines at the Tropic of Cancer, and the solar altitude angle is the maximum for the whole year, so the incident solar radiation in June is the smallest for the whole year in all cities. The solar altitude angle is affected by latitude, and the higher the latitude, the smaller the solar altitude angle. Therefore, among the five cities, although Guangdong has the highest outdoor solar radiation intensity, it has the lowest solar heat gain due to the solar altitude angle.
For escape solar radiation, a side-by-side comparison shows how it varies from city to city in different seasons. For example, in winter, Harbin has the smallest escape solar radiation, while Guangzhou has the largest amount. In summer, the opposite trend is observed, with Harbin having the largest and Guangzhou the smallest. There is a strong correlation between the amount of escape solar radiation and the amount of incident solar radiation, but there is also an effect of solar altitude and latitude. For example, comparing the two cities with the largest difference in latitude, on 15 March, the amount of incident solar radiation in Harbin is bigger than that in Guangzhou, but the amount of escape radiation is less than that in Guangzhou.
The results of solar radiation escape rate at 12:00 on the 15th of different months are shown in Figure 7.
Figure 7. Solar radiation escape rate Y at 12:00 on the 15th of different months. The monthly trends in solar radiation escape rate in each city were consistent: all of them increased and then decreased, reaching their maximum value in June. This is because the closer the month is to June, the bigger the solar altitude angle will be. The beam spot area is smaller, and it is closer to the glass curtain wall, resulting in a larger angle coefficient between the beam spot and the window, and therefore a higher escape rate. Therefore, for rooms facing south, the percentage of solar radiation escape is higher in summer when heat protection is required, while in winter when cold insulation is needed (except in Guangzhou and Kunming), the percentage of solar radiation escape is lower.
Unlike the daily variation, the most significant fluctuation in the escape rate in the monthly variation was in Guangzhou (5.32% to 10.18%), followed by Kunming, and the smallest fluctuation was in Harbin (5.47% to 7.25%), which shows that the magnitude of the fluctuation throughout the year decreases with the increase in latitude angle. This is due to the fact that the greater the latitude angle, the smaller the range of variation in solar altitude angle from month to month, and hence the smaller the change in the escape rate.
3.3. Yearly Variation Analysis
The year-round simulation of solar radiation escape is performed using year-round meteorological data, and, in order to calculate a more realistic solar radiation escape rate, the meteorological data used are from the CSWD meteorological data files of each city. Since in the previous analysis, Shanghai, as a representative city of the hot summer and cold winter region, is in the middle of the latitude among the five cities, the solar radiation escape rate in the daily change and monthly change is also in the middle. Moreover, Shanghai has both summer cooling demand and winter heating demand, so in the yearly variation analysis, Shanghai is used as an example to show the solar radiation escape rate for the whole year.
Since the escape rate of diffuse solar radiation does not vary with time, it is only affected by the physical parameters of the room. Under the conditions set in this paper, the escape rate of diffuse solar radiation is a constant value of 10.18%. Only direct solar radiation varies with time because of the solar azimuth and altitude angles. Therefore, in order to better demonstrate the variation in the solar radiation escape rate over time, the solar radiation escape rate is plotted throughout the year for rooms with different orientations while irradiated by direct solar radiation. For example, for the east-facing room, only morning values are available because the sun’s azimuth is westward in the afternoon, preventing direct radiation from entering the room.
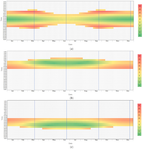
Figure 8 shows the annual solar radiation escape rates for rooms with different orientations in Shanghai while irradiated by direct solar radiation. The four vertical lines in each figure represent the vernal equinox, summer solstice, autumnal equinox, and winter solstice. The horizontal axis in Figure 8 represents the date, amounting to 365 days in total, and the vertical axis represents the time, which is 24 h in total. As shown in Figure 8a, the solar irradiation time on the spring/autumn equinox day in the south-facing room is from 6:00 to 17:00, and the fluctuation amplitude of solar radiation escape rate is 5.17–13.8%. However, on the summer solstice, the sun shines from 9:00 to 14:00, and the fluctuation range of solar radiation escape rate is 8.88 to 10.29%. The solar radiation escape rate exhibits periodic fluctuations, with the summer solstice or winter solstice as the axis of symmetry throughout the year. Spring and summer form symmetry, while autumn and winter form symmetry.
Among them, the fluctuations in autumn and winter are relatively large, with a wave amplitude of 6.8%, while the wave amplitude gradually decreases in spring, with a full day variation of only 1.4% on the summer solstice, and the wave amplitude gradually increases in summer. Figure 8b,c shows the annual solar radiation escape rates for rooms facing east and west, respectively. The solar radiation escape rates for rooms facing east and west are symmetric around the summer solstice, and their trends are very similar. The difference is that the solar irradiation in rooms facing east occurs in the morning, while in rooms facing west it occurs in the afternoon. The wave amplitude for rooms facing west is slightly larger in spring and summer than that for rooms facing east. This is due to the geographical location of Shanghai, where the solar radiation azimuth is slightly westward at noon. Therefore, when the absolute value of the solar radiation azimuth in the west-facing room is equal to that in the east-facing room, the solar altitude angle in the west-facing room is greater, resulting in a higher escape rate.
Figure 8. Solar radiation escape rate Y (%) in rooms with different orientations while irradiated by direct solar radiation through the year. (a) The room facing south; (b) The room facing east; (c) The room facing west. Notes: The four vertical blue lines represent the vernal equinox, summer solstice, autumnal equinox, and winter solstice. For rooms with different orientations, the weighted average value of solar radiation escape rates for different seasons were calculated using the incident solar radiation 𝑄𝑖𝑛Qin as a weight. Since the annual trends and values of the solar radiation escape rates for the east- and west-facing rooms are similar, only the east-facing rooms are selected for simulation and the calculated results can be used for the west-facing rooms. Also, since there is no air-conditioning demand during the transition season, the weighted average of the solar radiation escape rates for each city were calculated for both summer and winter. It is worth noting that the annual escape rates shown in Figure 8 are for the cases with incident direct radiation. In calculating the weighted average escape rate for each season of the year, the cases where the room receives only diffuse radiation are also included. The results of weighted average value of the solar radiation escape rates for rooms with different orientations for different seasons are shown in Table 3.
Table 3. The solar radiation escape rate Y in rooms in different cities.
The weighted average of the solar radiation escape rate for each city after using the CSWD meteorological parameter file has several influencing factors. In addition to the latitude of the city, the escape rate is also influenced by the climatic characteristics of each city. For example, Guangzhou is rainy and has the highest annual rainfall in China, Shanghai has a long rainy season, Harbin and Beijing have less annual rainfall, and Kunming has many sunny days throughout the year. The effect of the clear-sky index on solar radiation is dramatic; cloudy or overcast weather leads to a large reduction in direct radiation, which results in large differences in solar radiation intensity between cities. The differences in solar radiation escape rates between the cities are not as obvious as in the analysis of daily and monthly variations, but there is still a certain pattern.
During summer, the difference between the escape rate for south-facing rooms and that for east-facing rooms was around 0.6%. In all cities except Harbin, the escape rates for south-facing rooms are bigger than those for east-facing rooms. The weighted average of escape rates for all rooms is around 10%, with the smallest being the escape rate for south-facing rooms in Harbin at 9.31% and the largest being the escape rate for south-facing rooms in Guangzhou at 10.12%. In winter, there is a big difference between the escape rates of different oriented rooms, and the escape rates of south-facing rooms in all cities are around 9%, and the escape rates for east-facing rooms were all greater than 10%.
However, regardless of the season, the city location, and the orientation of the room, the value of solar radiation escape rate varies from 8.64% to 10.33%, and this value indicates that the solar radiation escape phenomenon cannot be ignored in glass curtain wall buildings. The results in Table 3 can be used as a reference value of solar radiation escape rate for the correction of the actual solar heat gain of buildings in different climate regions.
4. Conclusions
Part of the solar radiation that enters the indoor environment, after being reflected by the indoor walls, will escape to the outside through the transparent enclosure structure. The escape property has an impact on the actual solar radiation heat gain of the building, which cannot be ignored in glass curtain wall buildings.
The escape rate of incident solar radiation is affected by the solar altitude angle and azimuth angle, and therefore dynamically changes over time. Through simulation calculations and analysis, it is found that the smaller the solar azimuth angle and solar altitude angle, the smaller the escape rate of solar radiation. The range of solar radiation escape rate in a room is greatly affected by latitude in daily variation, and the higher the latitude, the greater the fluctuation range of escape rate.
The monthly trends of the solar radiation escape rate in each city were consistent: all of them increased and then decreased and reached the maximum value in June. A greater latitude leads to a smaller change in the solar radiation escape rate on a monthly timescale.
According to the simulation results of the yearly escape rate, the solar radiation escape rate exhibits periodic fluctuations. The variation trends of solar radiation escape rates for east-facing and west-facing rooms are very similar. The weighted average of the solar radiation escape rates for summer and winter were calculated for each city. Regardless of the season, the city location, and the orientation of the room, the value of solar radiation escape rate varied from 8.64% to 10.33%. These results can be used as a reference value of solar radiation escape rate for the correction of actual solar heat gain of buildings in different climate regions.
